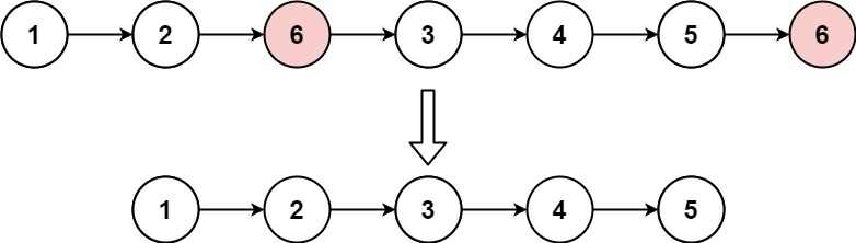
给你一个链表的头节点 head 和一个整数 val ,请你删除链表中所有满足 Node.val == val 的节点,并返回 新的头节点 。

输入:head = [1,2,6,3,4,5,6], val = 6
输出:[1,2,3,4,5]
输入:head = [], val = 1
输出:[]
输入:head = [7,7,7,7], val = 7
输出:[]
1 2 3 4 5 6 7 8 9 10 11 12 13 14 15 16 17 18 19 20 21
| /** * 当节点的next==null就是到链表尾巴 * * @param head * @param val * @return */ public ListNode removeElements(ListNode head, int val) { //初始化一个指向头结点的临时节点 ListNode temp = new ListNode(0, head); ListNode pre = temp; while (pre.next != null) { if (pre.next.val == val) { //当前节点的下一个节点赋值给前一个节点的next pre.next = pre.next.next; } else { pre = pre.next; } } return temp.next; }
|