随意随想

知其然,知其所以然

0%

LeetCode 160. 相交链表

给你两个单链表的头节点headA 和 headB ,请你找出并返回两个单链表相交的起始节点。如果两个链表不存在相交节点,返回 null 。
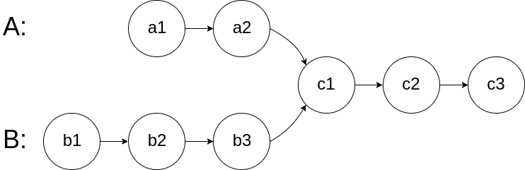
图示两个链表在节点 c1 开始相交:
ing)

题目数据 保证 整个链式结构中不存在环。
注意,函数返回结果后,链表必须 保持其原始结构 。
自定义评测:
评测系统 的输入如下(你设计的程序 不适用 此输入):

  • intersectVal - 相交的起始节点的值。如果不存在相交节点,这一值为 0
  • listA - 第一个链表
  • listB - 第二个链表
  • skipA - 在 listA 中(从头节点开始)跳到交叉节点的节点数
  • skipB - 在 listB 中(从头节点开始)跳到交叉节点的节点数
  • 评测系统将根据这些输入创建链式数据结构,并将两个头节点 headA 和 headB 传递给你的程序。如果程序能够正确返回相交节点,那么你的解决方案将被 视作正确答案 。
1
2
3
4
5
6
7
8
9
10
11
12
13
14
15
16
17
18
19
20
21
22
23
24
25
26
27
28
29
30
31
32
33
34
35
36
37
38
39
40
41
42
43
44
45
46
47
48
49
50
51
52
53
54
55
56
57
58
59
60
61
62
/**
* 根据题意,求两个链表的交点节点,如果没有交点,返回null
* 由于链表存在交点,所以,从交点开始直到末尾,都是相同的节点
* 鉴于以上的原因,可以求出A、B链表的长度差N,长的链表先走N步,再 A、B一起走,直到遇到相同的节点
*/
public ListNode getIntersectionNode(ListNode headA, ListNode headB) {
ListNode a = headA;
ListNode b = headB;
//求A的长度
int lenA = 0;
int lenB = 0;
while (a != null) {
a = a.next;
lenA++;
}
//求B的长度
while (b != null) {
b = b.next;
lenB++;
}
//还原A,B链表
a = headA;
b = headB;
//A、B交换,确保 A链表是最长的
if (lenA < lenB) {
int temp = lenA;
lenA = lenB;
lenB = temp;
ListNode node = a;
a = b;
b = node;
}
int n = lenA - lenB;
while (n-- > 0) {
a = a.next;
}
while (a != null) {
if (a == b) {
return a;
}
a = a.next;
b = b.next;
}
return null;
}

/**
* 双指针计算
* 解析:https://leetcode.cn/problems/intersection-of-two-linked-lists/solution/xiang-jiao-lian-biao-by-leetcode-solutio-a8jn/
*/
public ListNode getIntersectionNode2(ListNode headA, ListNode headB) {
if (headA == null || headB == null) {
return null;
}
ListNode pA = headA, pB = headB;
while (pA != pB) {
pA = pA == null ? headB : pA.next;
pB = pB == null ? headA : pB.next;
}
return pA;
}