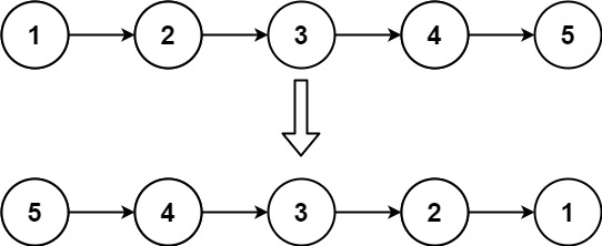
给你单链表的头节点 head ,请你反转链表,并返回反转后的链表。
输入:head = [1,2,3,4,5]
输出:[5,4,3,2,1]

1 2 3 4 5 6 7 8 9 10 11 12 13 14
| /** * 如题,链表翻转,可以定义一个前置节点,默认是default = null */ public ListNode reverseList(ListNode head) { ListNode prev = null; ListNode cur = head; while (cur != null) { ListNode temp = cur.next; cur.next = prev; prev = cur; cur = temp; } return prev; }
|