给定二叉搜索树(BST)的根节点root和一个整数值val。
你需要在 BST 中找到节点值等于val的节点。 返回以该节点为根的子树。 如果节点不存在,则返回null。
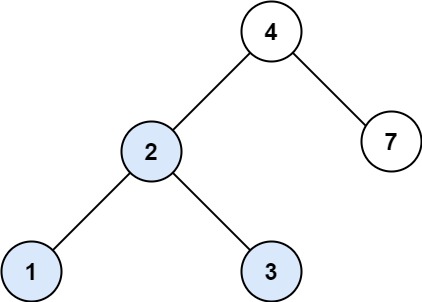
示例 1:

输入:root = [4,2,7,1,3], val = 2
输出:[2,1,3]
示例 2:

输入:root = [4,2,7,1,3], val = 5
输出:[]
提示:
数中节点数在[1, 5000]范围内
1 <= Node.val <= 10^7
root是二叉搜索树
1 <= val <= 10^7
1 2 3 4 5 6 7 8 9 10 11 12 13 14 15 16 17 18 19 20 21 22 23 24 25 26 27 28 29 30 31 32 33 34 35 36 37 38 39 40 41 42 43
| /** * 二叉搜索树,因为是有序的,左节点<中节点<右节点,所以感觉操作起来比一般的二叉树还要简单 */ public TreeNode searchBST(TreeNode root, int val) { LeetCode700 code700 = new LeetCode700(); TreeNode dfs = code700.dfs(root, val); TreeNode bfs = code700.bfs(root, val); return dfs; }
/** * 使用递归 */ public TreeNode dfs(TreeNode root, int val) { //如果为空或者找到相同值,返回当前节点 if (root == null || root.val == val) { return root; } TreeNode node = null; if (root.val < val) {//值大于中节点,往右走 node = dfs(root.right, val); } else if (root.val > val) { node = dfs(root.left, val);//往左走 } return node; }
/** * 层序遍历 */ public TreeNode bfs(TreeNode root, int val) { while (root != null) { if (root.val < val) {//值大于中节点,往右走 root = root.right; } else if (root.val > val) { root = root.left;//往左走 } else { return root; } } return null; }
|