给定一个不重复的整数数组nums 。最大二叉树可以用下面的算法从nums 递归地构建:
- 创建一个根节点,其值为nums 中的最大值。
- 递归地在最大值左边的子数组前缀上构建左子树。
- 递归地在最大值 右边 的子数组后缀上构建右子树。
返回nums 构建的 最大二叉树 。
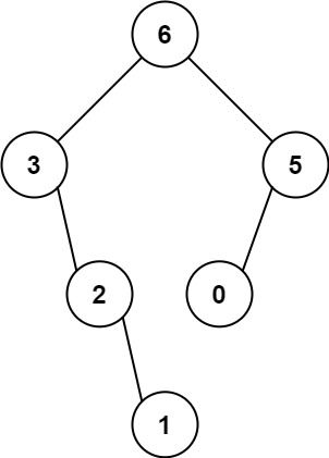
示例 1:

输入:nums = [3,2,1,6,0,5]
输出:[6,3,5,null,2,0,null,null,1]
解释:递归调用如下所示:
- [3,2,1,6,0,5] 中的最大值是 6 ,左边部分是 [3,2,1] ,右边部分是 [0,5] 。
- [3,2,1] 中的最大值是 3 ,左边部分是 [] ,右边部分是 [2,1] 。
- 空数组,无子节点。
- [2,1] 中的最大值是 2 ,左边部分是 [] ,右边部分是 [1] 。
- 空数组,无子节点。
- 只有一个元素,所以子节点是一个值为 1 的节点。
- [0,5] 中的最大值是 5 ,左边部分是 [0] ,右边部分是 [] 。
- 只有一个元素,所以子节点是一个值为 0 的节点。
- 空数组,无子节点。
示例 2:
输入:nums = [3,2,1]
输出:[3,null,2,null,1]
提示:
- 1 <= nums.length <= 1000
- 0 <= nums[i] <= 1000
- nums 中的所有整数 互不相同
1 2 3 4 5 6 7 8 9 10 11 12 13 14 15 16 17 18 19 20 21 22 23 24 25 26 27 28
| /** * 根据题意,就是使用中序遍历,先确立当前节点,然后在确立左子树,右子树 */ public TreeNode constructMaximumBinaryTree(int[] nums) { //数组是空,那么就返回null节点 if (nums == null || nums.length == 0) { return null; } //确立当前节点,就需要查询当前数组中的最大值,这里是O(N) int size = nums.length - 1; int maxNum = -1;//根据题意,数组数值大于等于0 int maxIndex = -1; while (size >= 0) { if (nums[size] > maxNum) { maxNum = nums[size]; maxIndex = size; } size--; } TreeNode curNode = new TreeNode(maxNum); //构造左子树 curNode.left = constructMaximumBinaryTree(Arrays.copyOfRange(nums, 0, maxIndex)); //构造右子树 curNode.right = constructMaximumBinaryTree(Arrays.copyOfRange(nums, maxIndex + 1, nums.length)); //返回当前节点 return curNode; }
|