给定两个整数数组 inorder 和 postorder ,其中 inorder 是二叉树的中序遍历, postorder 是同一棵树的后序遍历,请你构造并返回这颗 二叉树 。
示例 1:

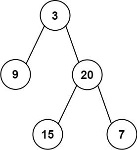
输入:inorder = [9,3,15,20,7], postorder = [9,15,7,20,3]
输出:[3,9,20,null,null,15,7]
示例 2:
输入:inorder = [-1], postorder = [-1]
输出:[-1]
提示:
- 1 <= inorder.length <= 3000
- postorder.length == inorder.length
- -3000 <= inorder[i], postorder[i] <= 3000
- inorder和postorder都由 不同 的值组成
- postorder中每一个值都在inorder中
- inorder保证是树的中序遍历
- postorder保证是树的后序遍历
1 2 3 4 5 6 7 8 9 10 11 12 13 14 15 16 17 18 19 20 21 22 23 24 25 26 27 28 29 30 31 32 33 34 35 36 37 38 39
| /** * 递归法 * 1、确立当前节点 * 2、确立当前节点的左节点 * 3、确立当前节点的右节点 * 4、返回当前节点 * * @param inorder 中序数组 * @param postorder 后序数组 * @return 结果树 */ public TreeNode buildTree(int[] inorder, int[] postorder) { if (postorder == null || postorder.length == 0) { return null; } TreeNode curNode = new TreeNode(postorder[postorder.length - 1]); //返回条件,当前是叶子节点 if (postorder.length == 1) { return curNode; }
//根据cur,切割inorder 找出切割点 int leftLen = 0; while (inorder[leftLen] != curNode.val) { leftLen++; } //中序数组的左子集合,请注意上面的写法多加加了一次 Arrays.copyOfRange 这个方法是左闭右开 int[] inleft = Arrays.copyOfRange(inorder, 0, leftLen); //中序数组的右子集合 int[] inright = Arrays.copyOfRange(inorder, leftLen + 1, inorder.length);
//后序数组的左子集,注意这里必须要使用 中序数组的左子集长度 int[] postleft = Arrays.copyOfRange(postorder, 0, inleft.length); int[] postright = Arrays.copyOfRange(postorder, inleft.length, postorder.length - 1);
curNode.left = buildTree(inleft, postleft);// 中序数组的左子集合,后序数组的左子集 curNode.right = buildTree(inright, postright);// 中序数组的右子集合,后续数组的右子集 return curNode; }
|