给定一个 N 叉树,找到其最大深度。
最大深度是指从根节点到最远叶子节点的最长路径上的节点总数。
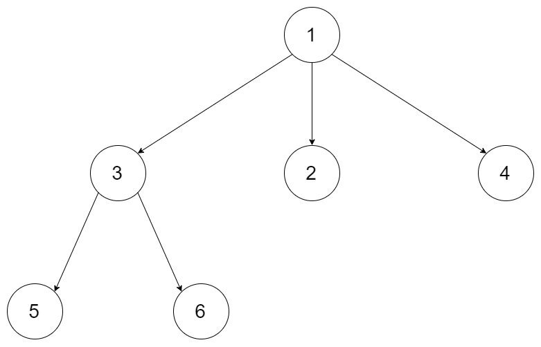
N 叉树输入按层序遍历序列化表示,每组子节点由空值分隔(请参见示例)。
示例 1:

输入:root = [1,null,3,2,4,null,5,6]
输出:3
示例 2:

输入:root = [1,null,2,3,4,5,null,null,6,7,null,8,null,9,10,null,null,11,null,12,null,13,null,null,14]
输出:5
提示:
树的深度不会超过1000 。
树的节点数目位于 [0,10^4] 之间。
1 2 3 4 5 6 7 8 9 10 11 12 13 14 15 16 17 18 19 20 21 22 23 24 25 26 27 28 29 30 31 32 33 34 35 36 37 38 39 40 41 42 43
| /** * DFS一般都是递归 * 确立入参出参,结束条件,函数编写 */ public int dfs(Node root, int depth) { if (root == null) { return depth; } depth++;//当前深度 int curDp = depth; for (int i = 0; i < root.children.size(); i++) { Node node = root.children.get(i); int dfs = dfs(node, depth);//孩子节点的深度 curDp = Math.max(curDp, dfs);//将最大值赋给cutDp } return curDp; }
public int bfs(Node root) { if (root == null) { return 0; } Queue<Node> qe = new LinkedList<>(); qe.offer(root); int depth = 0; while (!qe.isEmpty()) { int size = qe.size(); depth++; while (size-- > 0) { Node node = qe.poll(); //下面的操作是将子集入队列 if (node.children != null && node.children.size() > 0) { for (int i = 0; i < node.children.size(); i++) { if (node.children.get(i) != null) { qe.offer(node.children.get(i));//加入队列 } } } } } return depth; }
|