随意随想

知其然,知其所以然

0%

LeetCode 222. 完全二叉树的节点个数

给你一棵 完全二叉树 的根节点 root ,求出该树的节点个数。

完全二叉树 的定义如下:在完全二叉树中,除了最底层节点可能没填满外,其余每层节点数都达到最大值,并且最下面一层的节点都集中在该层最左边的若干位置。若最底层为第 h 层,则该层包含 1~2^h个节点。

示例 1:

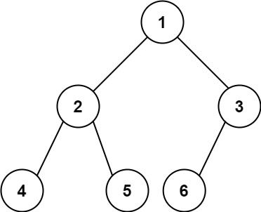
输入:root = [1,2,3,4,5,6]
输出:6

示例 2:
输入:root = []
输出:0

示例 3:
输入:root = [1]
输出:1

提示:

树中节点的数目范围是[0, 5 * 104]
0 <= Node.val <= 5 * 104
题目数据保证输入的树是 完全二叉树

1
2
3
4
5
6
7
8
9
10
11
12
13
14
15
16
17
18
19
20
21
22
23
24
25
26
27
28
29
30
31
32
33
34
35
36
37
38
39
40
41
42
43
44
45
46
47
48
49
50
51
52
53
54
55
56
57
58
59
60
61
62
63
64
65
66
67
68
69
70
71
72
73
74
75
76
/**
* 222. 完全二叉树的节点个数
*/
public class LeetCode222 {

/**
* 题目里面说到求完全二叉树的节点个数,如果单纯是求二叉树的个数,我们很容易想到 BFS、DFS
* 但是题目说到是完全二叉树,那么就有完全二叉树的特点
*/
public int countNodes(TreeNode root) {
return dfs(root);
}

/**
* 年轻人不讲武德 之 DFS
*/
public int dfs(TreeNode root) {
if (root == null) {
return 0;
}
//左子树的节点+右子树的节点+头节点
return dfs(root.left) + dfs(root.right) + 1;
}

/**
* 简单的 bfs
*/
public int bfs(TreeNode root) {
if (root == null) {
return 0;
}
Queue<TreeNode> qe = new LinkedList<>();
qe.offer(root);
int num = 0;
while (!qe.isEmpty()) {
int size = qe.size();
while (size-- > 0) {
num++;
TreeNode node = qe.poll();
if (node.left != null) qe.offer(node.left);
if (node.right != null) qe.offer(node.right);
}
}
return num;
}

/**
* 此题本意 是利用完全二叉树的特性进行
*/
public int realSource(TreeNode root) {
if (root == null) {
return 0;
}
int left = getDepth(root.left);
int rigth = getDepth(root.right);
if (left == rigth) {//如果相等,那么左子树就是满二叉树,满二叉树 = 2^n-1
//2^left其实是 (2^left - 1) + 1 ,左子树 + 根结点,同时 2^n = (1<<n)
return (1 << left) + realSource(root.right);
} else {//不相等,那么右子树就是满二叉树,这两句话得要好好体会~~~
return (1 << rigth) + realSource(root.left);
}
}

/**
* 获取深度就不断的查看左节点
*/
public int getDepth(TreeNode root) {
int num = 0;
while (root != null) {
root = root.left;
num++;
}
return num;
}
}