给你一个整数 n ,求恰由 n 个节点组成且节点值从 1 到 n 互不相同的 二叉搜索树 有多少种?返回满足题意的二叉搜索树的种数。
示例 1:

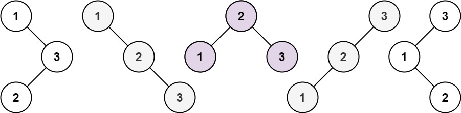
输入:n = 3
输出:5
示例 2:
输入:n = 1
输出:1
提示:
1 2 3 4 5 6 7 8 9 10 11 12 13 14 15 16 17 18 19 20 21 22
| /** * 96. 不同的二叉搜索树 */ public class LeetCode96 {
/** * 结题思路:假设n个节点存在二叉排序树的个数是G(n),1为根节点,2为根节点,...,n为根节点,当1为根节点时,其左子树节点个数为0, * 右子树节点个数为n-1,同理当2为根节点时,其左子树节点个数为1,右子树节点为n-2, * 所以可得G(n) = G(0)*G(n-1)+G(1)*(n-2)+...+G(n-1)*G(0) */ public int numTrees(int n) { int[] dp = new int[n + 1]; dp[0] = 1; for (int i = 1; i <= n; i++) { for (int j = 1; j <= i; j++) { dp[i] += dp[j - 1] * dp[i - j]; } } return dp[n]; } }
|