给你二叉搜索树的根节点 root ,同时给定最小边界low 和最大边界 high。
通过修剪二叉搜索树,使得所有节点的值在[low, high]中。修剪树 不应该改变保留在树中的元素的相对结构 (即,如果没有被移除,原有的父代子代关系都应当保留)。 可以证明,存在 唯一 的答案。
所以结果应当返回修剪好的二叉搜索树的新的根节点。注意,根节点可能会根据给定的边界发生改变。
示例 1:

输入:root = [1,0,2], low = 1, high = 2
输出:[1,null,2]
示例 2:

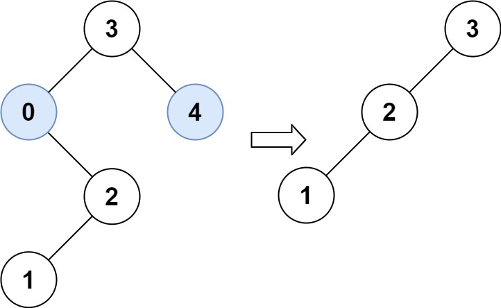
输入:root = [3,0,4,null,2,null,null,1], low = 1, high = 3
输出:[3,2,null,1]
提示:
- 树中节点数在范围 [1, 10^4] 内
- 0 <= Node.val <= 10^4
- 树中每个节点的值都是 唯一 的
- 题目数据保证输入是一棵有效的二叉搜索树
- 0 <= low <= high <= 10^4
1 2 3 4 5 6 7 8 9 10 11 12 13 14 15 16 17 18 19 20 21 22 23
| /** * 使用的是中序遍历 */ public TreeNode trimBST(TreeNode root, int low, int high) { //如果达到了底层,那么就返回空 if (root == null) { return null; } //节点不为空 if (root.val < low) { //如果当前节点的值比最小范围还要小,那么就删除当前节点以及左孩子树,但是需要返回 已经遍历过的右子树 //因为右子树可能也有不在这个范围的节点 return trimBST(root.right, low, high); } if (root.val > high) { return trimBST(root.left, low, high);//与上同理 } //接着就递归左孩子以及右孩子 root.left = trimBST(root.left, low, high); root.right = trimBST(root.right, low, high); return root; }
|