给定一个二叉搜索树的根节点 root 和一个值 key,删除二叉搜索树中的 key 对应的节点,并保证二叉搜索树的性质不变。返回二叉搜索树(有可能被更新)的根节点的引用。
一般来说,删除节点可分为两个步骤:
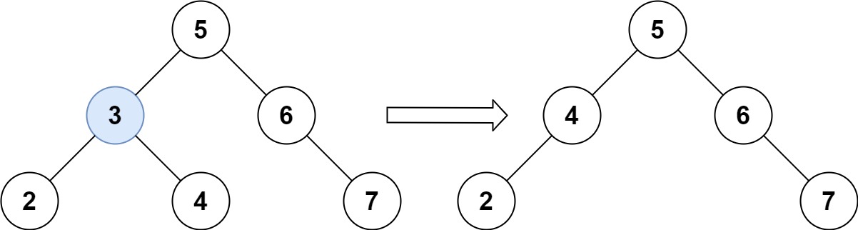
示例 1:

输入:root = [5,3,6,2,4,null,7], key = 3
输出:[5,4,6,2,null,null,7]
解释:给定需要删除的节点值是 3,所以我们首先找到 3 这个节点,然后删除它。
一个正确的答案是 [5,4,6,2,null,null,7], 如下图所示。
另一个正确答案是 [5,2,6,null,4,null,7]。

示例 2:
输入: root = [5,3,6,2,4,null,7], key = 0
输出: [5,3,6,2,4,null,7]
解释: 二叉树不包含值为 0 的节点
示例 3:
输入: root = [], key = 0
输出: []
提示:
- 节点数的范围[0, 10^4].
- -10^5<= Node.val <= 10^5
- 节点值唯一
- root是合法的二叉搜索树
- -10^5<= key <= 10^5
1 2 3 4 5 6 7 8 9 10 11 12 13 14 15 16 17 18 19 20 21 22 23 24 25 26 27 28 29 30 31 32 33 34 35 36 37 38 39 40
| /** * 删除节点会有5种情况需要考虑,我在会代码上注释 * 这个还是中序遍历 */ public TreeNode deleteNode(TreeNode root, int key) { if (root == null) { return root; } //如果找到节点 if (root.val == key) { if (root.left == null && root.right == null) { //左右孩子都是空,返回null(表示当前节点已经删除) return null; } else if (root.right == null) { //右空,左不空 返回当前节点的左节点 return root.left; } else if (root.left == null) { //同理 return root.right; } else { //左右孩子都不为空,那么就将左孩子挂到 右子树的最左叶子节点上 //那么就需要找到右子树的最左叶子 TreeNode cur = root.right; while (cur.left != null) { cur = cur.left; } cur.left = root.left; root = root.right; return root; } } else if (key < root.val) { //小于就左 root.left = deleteNode(root.left, key); } else { //大于就右 root.right = deleteNode(root.right, key); } return root; }
|