给你一个二叉搜索树的根节点 root ,返回 **树中任意两不同节点值之间的最小差值 **。
差值是一个正数,其数值等于两值之差的绝对值。
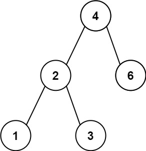
示例 1:

输入:root = [4,2,6,1,3]
输出:1
示例 2:
输入:root = [1,0,48,null,null,12,49]
输出:1
提示:
树中节点的数目范围是 [2, 104]
0 <= Node.val <= 10^5
中序遍历后的节点是有序的!!!
中序遍历后的节点是有序的!!!
中序遍历后的节点是有序的!!!
重要的事情说三遍、三遍、三遍
1 2 3 4 5 6 7 8 9 10 11 12 13 14 15 16 17 18 19 20 21 22 23 24 25 26 27 28 29 30 31
| TreeNode pre = null; //最小值 int min = Integer.MAX_VALUE;
/** * 这道题跟 98 差不多,都可以使用中序遍历(遍历后的节点是有序的) * 在这个过程中,计算最小值,最后返回数值就可以了 */ public int getMinimumDifference(TreeNode root) { bfs(root); return min; }
public void bfs(TreeNode root) { if (root == null) { return;//遇到空节点跳过 } //左 bfs(root.left);
if (pre != null) { min = Math.min(min, root.val - pre.val); } //注意不管当前有没有值,都需要左赋值操作 pre = root;
//右 bfs(root.right); }
|