给定一个二叉树,判断它是否是高度平衡的二叉树。
本题中,一棵高度平衡二叉树定义为:
一个二叉树每个节点 的左右两个子树的高度差的绝对值不超过 1 。
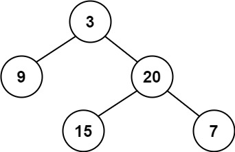
示例 1:

输入:root = [3,9,20,null,null,15,7]
输出:true
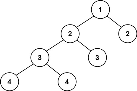
示例 2:

输入:root = [1,2,2,3,3,null,null,4,4]
输出:false
示例 3:
输入:root = []
输出:true
提示:
树中的节点数在范围 [0, 5000] 内
-104 <= Node.val <= 104
1 2 3 4 5 6 7 8 9 10 11 12 13 14 15 16 17 18 19 20 21 22 23 24 25 26 27 28 29 30 31 32 33 34 35
| /** * 这道题也可以稍微参考下104 * 一开始接触这道题的时候,觉得,这怎么可能是到easy 题,至少用迭代法,会复杂很多,所以只能先掌握递归 * 1、还是从宏观上考量,分成三个节点,root、left、right,左子树是否平衡,右子树是否平衡,当前树是否评审 * 2、假如我们使用后序遍历,那么上面的问题可以简单的归纳为 当前叶子节点的上级节点是否平衡 * 3、需要一个获取高度的函数 * 4、通过高度差的计算判断是否平衡二叉树 */ public boolean isBalanced(TreeNode root) { return depth(root) != -1; }
/** * @param node 当前节点 * @return 当前节点最大高度 * 假如不是平衡树,返回-1 */ public int depth(TreeNode node) { if (node == null) { return 0; } //后序遍历 int left = depth(node.left); if (left == -1) { return -1; } int right = depth(node.right); if (right == -1) { return -1; } //到这步,左右子树都是平衡二叉树 //如果高度差大于1,就不是平衡树,返回-1,否则返回最大的深度+1 return Math.abs(left - right) > 1 ? -1 : Math.max(left, right) + 1; }
|